Physics for Scientists & Engineers, 3rd Edition. Giancoli
Chapter 2 // Describing Motion: Kinematics in One Direction
Problem 6:
You are driving home from school steadily at 65 mph from 130 miles. It then begins to rain and you slow to 55 mph. You arrive home after driving 3 hours and 20 minutes.
- A) How far is your hometown from school?
- B) What was your average speed?
Problem 7:
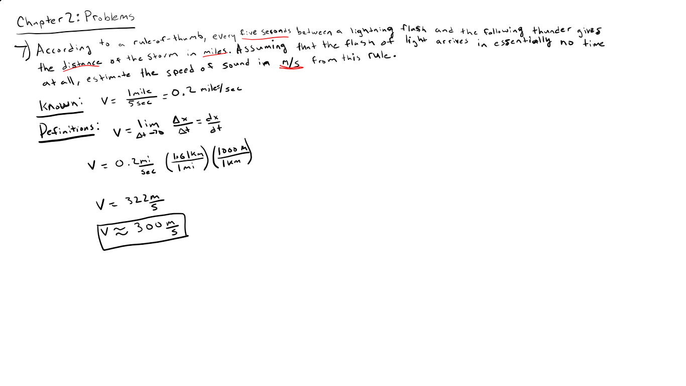
According to a rule-of-thumb, every five seconds between a lightning flash and the following thunder gives the distance of the storm in miles. Assuming that the flash of light arrives in essentially no time at all, estimate the speed of sound in m/s from this rule.
Problem 8:
A person runs eight complete laps around a quarter-mile track in a total time of 12.5 min. Calculate:
- A) The average speed
- B) The average velocity, in m/s.
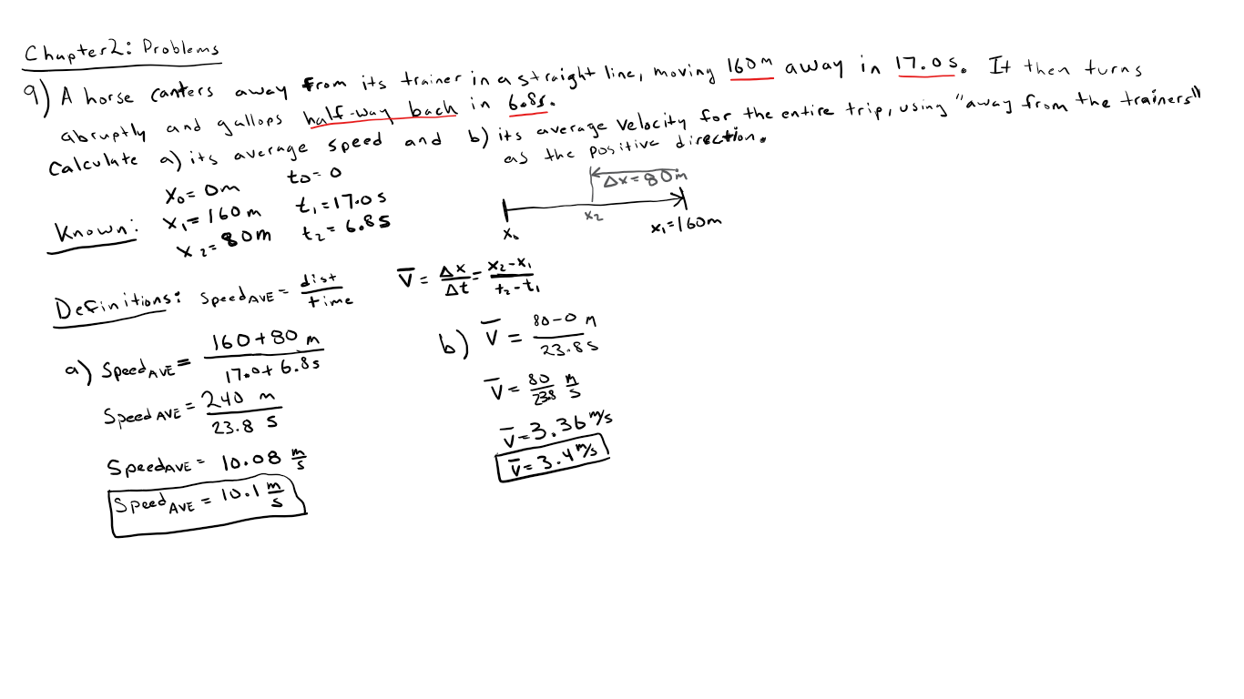
Problem 9:
A horse canters away from its trainer in a straight line, moving 160 m away in 17.0 s. It then turns abruptly and gallops halfway back in 6.8 s. Calculate:
- A) its average speed
- B) its average velocity for the entire trip, using “away from the trainer” as the positive direction.
Problem 10:
Two locomotives approach each other on parallel tracks. Each has a speed of 95 km/h with respect to the ground. If they are initially 8.5 km apart, how long will it be before they reach each other?
If you are having any issues, please leave a comment.





